МБОУ "СОШ № 45 г. Челябинска"
@id7448026565_gos
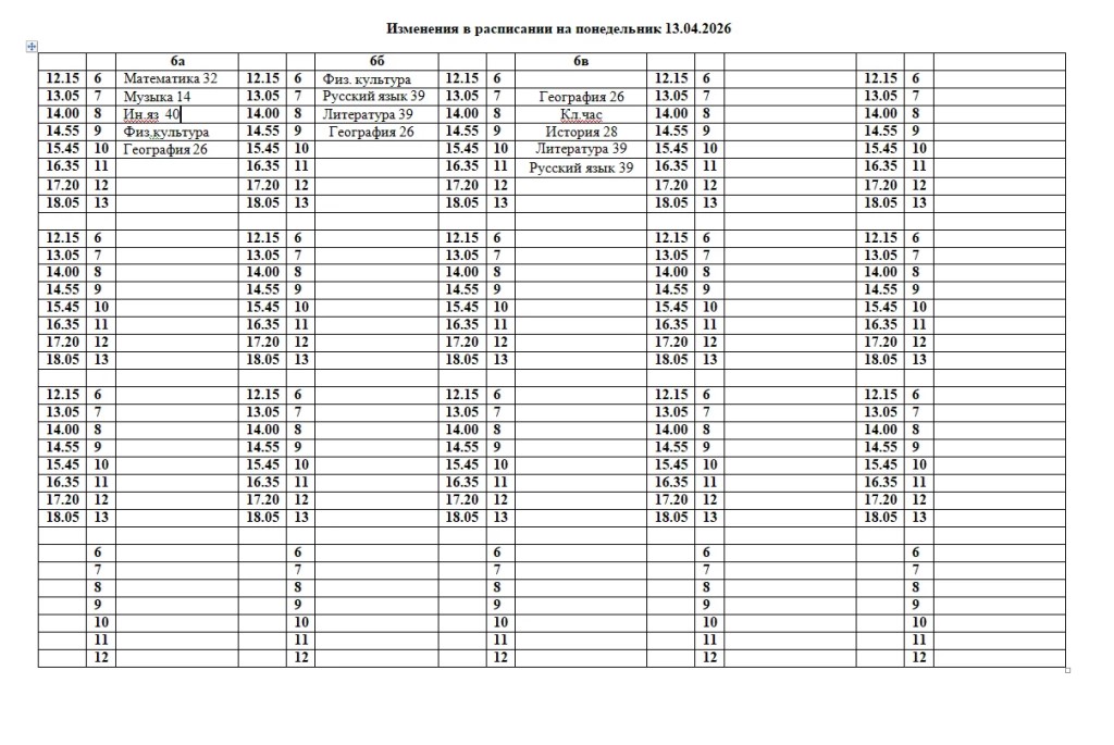
!!! Изменения в расписании на 13 апреля !!!
Перейти к посту
Открыть в браузере
Если у вас установлено приложение,
вы можете сразу перейти в канал