КП Самара
@samarakp
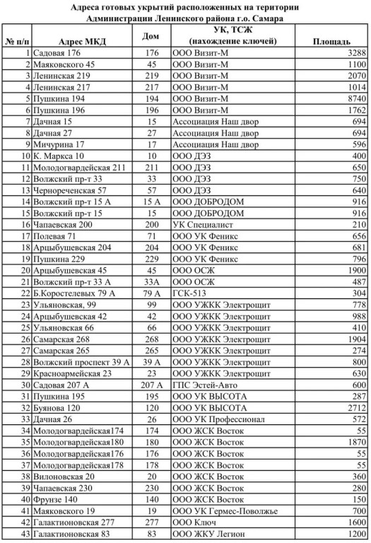
Фото ❗️ Список укрытий на случай ракетной опасности в Октябрьском районе Самары Адреса укрытий вы можете найти здесь. Ранее был опубликован список укрытий в Ленинском районе (смотрите фото). Скоро будут так же известны списки в других районах Самары. Жителям советуют заранее изучить адрес ближайшего укрытия, чтобы в случае тревоги не терять время. Читайте «КП - Самара» в MAX
Если у вас установлено приложение,
вы можете сразу перейти в канал